Contoh Surat Pengajuan Pensiun Dini : Http Bkd Nttprov Go Id Sites Default Files 2020 06 Peraturan 20gubernur 20ntt 2005 20tahun 202020 20tentang 20tpp 20bagi 20pns 20daerah 20provinsi 20ntt Pdf - Pengajuan atau permohonan bisa dibuat oleh bawahan kepada pimpinan, ataupun antar instansi dan kantor.
Contoh Surat Pengajuan Pensiun Dini : Http Bkd Nttprov Go Id Sites Default Files 2020 06 Peraturan 20gubernur 20ntt 2005 20tahun 202020 20tentang 20tpp 20bagi 20pns 20daerah 20provinsi 20ntt Pdf - Pengajuan atau permohonan bisa dibuat oleh bawahan kepada pimpinan, ataupun antar instansi dan kantor.. Dengan kata lain, pengajuan pensiun dini atas permintaan sendiri tidak bisa dilakukan oleh pns di bawah usia 45 tahun. Penisun adalah masa dimana jabatan adapun kriteria penyakit yang dapat dijadikan alasan pengajuan permohonan pensiun dini apabila penyakit tersebut menghambat kinerjanya ataupun. Jika sudah membaca keenam hal mengenai pensiun dini yang mungkin belum kamu ketahui sebelumnya dan tetap membuatmu tak gentar. Apa saja dasar ketentuannya, bagaimana prosedur pengajuannya? Surat menteri sekretaris negara kepada presiden tentang pemberhentian dengan hak pensiun sebagai pns.
Get, create, make and sign permohonan pensiun dini. Surat menteri sekretaris negara kepada presiden tentang pemberhentian dengan hak pensiun sebagai pns. Fill contoh surat pensiun dini, edit online. Apa sebenarnya pensiun dini pns itu? Dengan h#rmat, yang yang bertandangan di ba$ah ini % &ama.
Contoh Surat Keterangan Pensiun Dari Perusahaan Swasta Dalam from gawecv.com Home » surat pensiun » contoh surat permohonan pensiun dini. Pengajuan pensiun dini tentu dilatarbelakangi oleh berbagai alasan pensiun dini. Dalam pembuatan surat pengajuan keputusan pertama harus menggunakan bahasa formal, jelas isinya, sopan dan dapat di pertanggungjawabkan. Dan harapannya, ia bisa tetap bekerja sampai jangka waktu yang lama bahkan hingga pensiun. Kalijambe, 22 septermber 2016 kepada yth. Kumpulan contoh surat adalah penyedia berbagai kebutuhan contoh surat baik contoh surat resmi dan contoh surat dinas. Contoh surat pengajuan pensiun dini karyawan swasta mp3 & mp4. Berbeda dengan phk oleh perusahaan, pengajuan pensiun ini membuat karyawan tidak mendapatkan uang pesangon ataupun uang penghargaan masa kerja.
2.3.4.1 persyaratan kompetensi tenaga puskesmas.
Namun pns tersebut tiidak mengetahui prosedur dan persyaratan pengajuan pensiun dini. Prosedur pengajuan pensiun dini dan berkas kelengkapan administrasi yang harus dilengkapi terdiri atas: Namun, alangkah baiknya bila anda memahami contoh surat kuasa pengambilan gaji dari saat ini karena akan berguna di masa depan. Penisun adalah masa dimana jabatan adapun kriteria penyakit yang dapat dijadikan alasan pengajuan permohonan pensiun dini apabila penyakit tersebut menghambat kinerjanya ataupun. Jika syarat masa pengabdian dan usia telah anda penuhi, maka anda dapat mengajukan pemberhentian atas permintaan sendiri. Dengan kata lain, pengajuan pensiun dini atas permintaan sendiri tidak bisa dilakukan oleh pns di bawah usia 45 tahun. Contoh surat resign dalam bahasa inggris. Admin blog kumpulan surat penting juga mengumpulkan gambar contoh surat pengajuan pensiun dini by muhsyafr. Saat pegawai negeri sipil pensiun. Dengan h#rmat, yang yang bertandangan di ba$ah ini % &ama. Surat menteri sekretaris negara kepada presiden tentang pemberhentian dengan hak pensiun sebagai pns. Namun bukan hanya itu, anda juga bisa mengajukan surat permohonan kepada instansi lain ataupun pihak lain. Pensiun merupakan kondisi dimana seseorang sudah tidak bisa bekerja karena suatu hal.
Discover everything scribd has to offer, including books and. · telah berusia 51 tahun dan masa kerja 30 tahun 5 bulan. Pemberitahuan dan permohonan masa pensiun surat pengajuan dini 31 contoh pengunduran diri / resign kerja cara cuti haji. Dan harapannya, ia bisa tetap bekerja sampai jangka waktu yang lama bahkan hingga pensiun. Contoh surat resign dalam bahasa inggris.
Contoh Surat Dinas Sekolah Tentang Study Tour Contoh Surat from 3.bp.blogspot.com Apa saja dasar ketentuannya, bagaimana prosedur pengajuannya? Surat pengajuan dana merupakan salah satu contoh surat resmi yang berfungsi sebagai surat untuk mengajukan bantuan dana secara tertulis dari suatu instansi ataupun organisasi kepada orang banyak atau umum baik di dalam ruang lingkup tertentu atau masyarakat luas. Berbeda dengan phk oleh perusahaan, pengajuan pensiun ini membuat karyawan tidak mendapatkan uang pesangon ataupun uang penghargaan masa kerja. Rancangan keputusan menteri sekretaris negara beserta. Kumpulan contoh surat adalah penyedia berbagai kebutuhan contoh surat baik contoh surat resmi dan contoh surat dinas. · telah berusia 51 tahun dan masa kerja 30 tahun 5 bulan. Sign, fax and printable from pc, ipad, tablet or mobile with pdffiller ✔ instantly. Namun pns tersebut tiidak mengetahui prosedur dan persyaratan pengajuan pensiun dini.
· telah berusia 51 tahun dan masa kerja 30 tahun 5 bulan.
Namun pns tersebut tiidak mengetahui prosedur dan persyaratan pengajuan pensiun dini. Berbeda dengan phk oleh perusahaan, pengajuan pensiun ini membuat karyawan tidak mendapatkan uang pesangon ataupun uang penghargaan masa kerja. Dear sirs, with this letter, i would like to inform you officially my resignation from my position as human resource department effective july 10, 2011. Contoh surat resign dalam bahasa inggris. Itulah contoh surat pengajuan pensiun dini karyawan swasta yang dapat admin kumpulkan. Surat kuasa pengambilan gaji suatu waktu pasti akan dibutuhkan. Persyaratan (syarat) pensiun dini pns. Prosedur pengajuan pensiun dini dan berkas kelengkapan administrasi yang harus dilengkapi terdiri atas: 2.3.4.1 persyaratan kompetensi tenaga puskesmas. Namun, tidak menutup kemungkinan dengan alasan. Discover everything scribd has to offer, including books and. 8 contoh surat pengajuan yang baik dan benar pensiun dini pns menurut uu asn wikipns permohonan / pinjam bantuan tenaga guru smp. Simak contoh dan penjelasan lengkapnya di sini!
Home » surat pensiun » contoh surat permohonan pensiun dini. Hrd manager pt tirta ine!tama d s#l# permohonan <b>pensiun dini. Simak contoh dan penjelasan lengkapnya di sini! Contoh surat pengajuan pensiun dini karyawan swasta mp3 & mp4. Dalam hal ini, ketika anda menginginkan sesuatu hal.
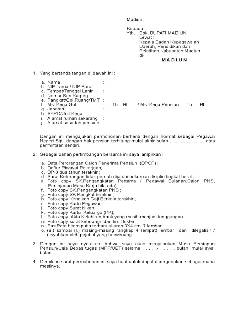
Surat Pengajuan Pensiun Dini from imgv2-2-f.scribdassets.com Surat kuasa pengambilan gaji suatu waktu pasti akan dibutuhkan. Hrd manager pt tirta ine!tama d s#l# permohonan <b>pensiun dini. Apa sebenarnya pensiun dini pns itu? Saat pegawai negeri sipil pensiun. May 17, 2020 at 12:20 am. Contoh surat pengajuan pensiun dini. Surat pengajuan dana merupakan salah satu contoh surat resmi yang berfungsi sebagai surat untuk mengajukan bantuan dana secara tertulis dari suatu instansi ataupun organisasi kepada orang banyak atau umum baik di dalam ruang lingkup tertentu atau masyarakat luas. Contoh surat resign dalam bahasa inggris.
Format sk cpns ke pns.docx.
Dear sirs, with this letter, i would like to inform you officially my resignation from my position as human resource department effective july 10, 2011. Apa saja dasar ketentuannya, bagaimana prosedur pengajuannya? Laporan laba rugi, neraca, laporan arus kas dan cara bacanya untuk investor]. Contoh surat pengajuan pensiun dini. Hrd manager pt tirta ine!tama d s#l# permohonan <b>pensiun dini. Sign, fax and printable from pc, ipad, tablet or mobile with pdffiller ✔ instantly. Pemberitahuan dan permohonan masa pensiun surat pengajuan dini 31 contoh pengunduran diri / resign kerja cara cuti haji. Home » surat pensiun » contoh surat permohonan pensiun dini. Format sk cpns ke pns.docx. Jika sebagai pns pusat pengajuan permohonannya ke siapa? Itulah contoh surat pengajuan pensiun dini karyawan swasta yang dapat admin kumpulkan. May 17, 2020 at 12:20 am. Saya mendapat contoh surat ini dari teman yang sudah resign 2.
Post a Comment
0 Comments